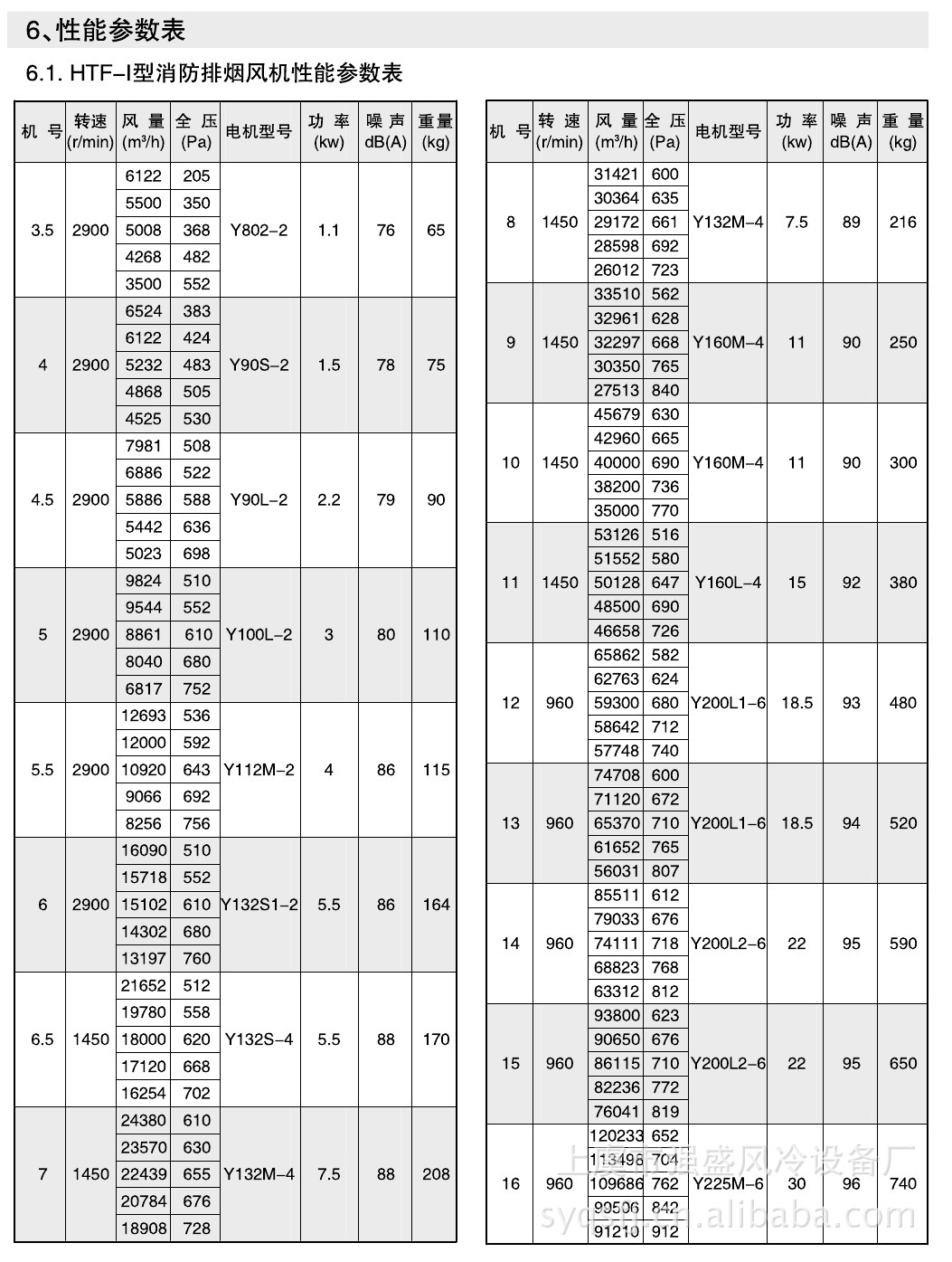
HTF系列消防高温排烟风机系国家级“星火”项目产品,该风机经“国家固定灭火系统和耐火构件质检中心”检测合格,其性能达到国内领先水平,经全国三十多个省市的消防局认可。该系列风机畅销北京、上海、重庆、江苏、广东、深圳等全国各省(市)、自治区。
HTF系列高温排烟风机具有以下特点:
1、耐高温性能优良:风机测试符合GBJ45-82消防规范标准要求,建立高于该标准的企业内控保证体系,能在300°C高温条件下连续运行60分钟以上、100°C温度条件下连续20小时/次不损坏,广泛应用于高级民用建筑、烘箱、地下车库、隧道等场合;
2、适用范围广:可以根据高级民用建筑的不同要求,采用变速或多速驱动形式,以达到一机两用(即常用通风和消防排烟)的目的;叶型分为轴流式(HTF-I、II)和斜流式(HTF-III、IV),使该系列风机具有广泛的性能参数。若用户对噪声要求较高时,可制作成消音风机。
3、效率高:本系列风机经多目标优化设计研制而成,经实测表明风机效率大于80%,部分大机号大于85%,并具有效率曲线平坦的特点,有利于节能。
4、安装方便,占地较离心风机少:该风机可直接与风管连接或墙壁安装,很大程度地接生了占地面积。


上虞市强盛风冷设备厂以”质量至上,用户第一”为宗旨,竭诚欢迎新老客户来电洽谈业务!