
经营范围介绍:
1.SMD三极管(微波、高频、射频、MOS、双栅场效应管、达林顿、高压及数字三极管)
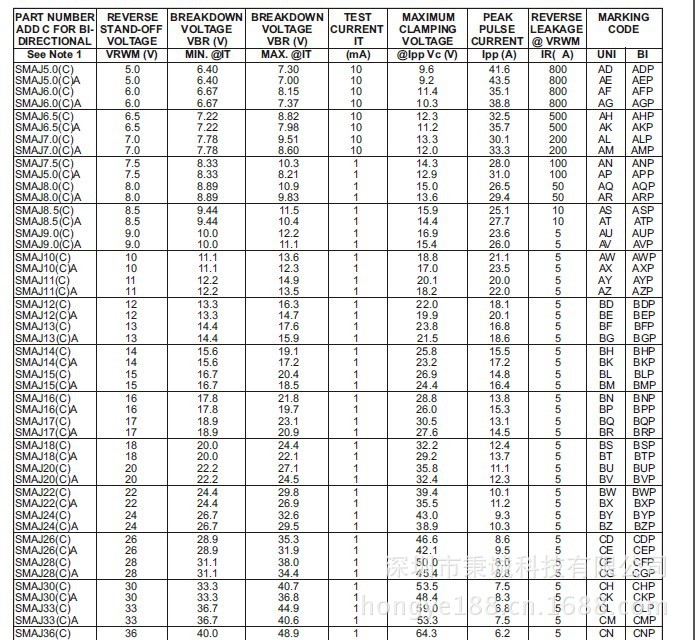
2.SMD二极管(检波、肖特基、整流、快恢复、稳压及瞬态抑制)
3.贴片电容器(0402、0603、0805、1206、1210…1P~10uF/6.3~50V; J、K、M、Z档)
4.贴片高压电容器(0805、1206、1210、1808、1812、2225…1P~10uF/100~3000V; J、K档)
5.SMD固体钽质电容器(0805、A、B、C、D、E型, 0.1~1000uF/4~50V)
6.SMD电阻器(0402、0603、0805、1206、1/16W、1/10W、1/8W、1/4W; 1Ω~20MΩ)
7.SMD电阻排(0402、0603、0805/1Ω~10MΩ)
8.SMD钽质铝电解电容器(Φ3、4、5、6、8、10、12mm, 0.1~1000uF/4~50V)
9.发光二极管(0603、0805、1206等红、绿、黄、蓝各色,单双色、普亮、高亮、超亮型)
10.SMD集成电路IC(74、LM/LF、4000、4500、MAX、HP、SI、FDS…等)
10.SMD电感器(0402、0603、0805、1008、1206、1225、2520、3225、4532、 5650/1nH~2mH)
11.SMD磁珠(0402、0603、0805、1206、1210、1812/5Ω~3KΩ)