'

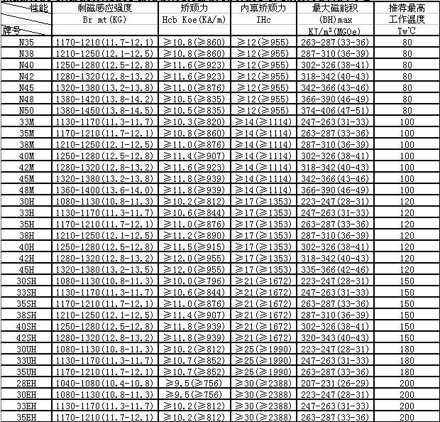
钕铁硼永磁材料是以金属间化合物Nd2Fe14B为基础的永磁材料。钕铁硼具有极高的磁能积和矫力,同时高能量密度的优点使钕铁硼永磁材料在现代工业和电子技术中获得了广泛应用,从而使仪器仪表、电声电机、磁选磁化等设备的小型化、轻量化、薄型化成为可能。
材质特点:钕铁硼的优点是性价比高,具良好的机械加工特性;不足之处在于居里温度点低,温度特性差,且易于粉化腐蚀,必须通过调整其化学成分和采取表面处理方法使之得以改进,才能达到实际应用的要求。
制造工艺:钕铁硼的制造采用粉末冶金工艺。
工艺流程:配料 → 熔炼制锭→ 制粉 → 压型 → 烧结回火 → 磁性检测 → 磨加工 → 销切加工 → 电镀 → 成品。


公司优势产品,钕铁硼打孔磁铁,各种规格磁环,小规格产品,电子用磁铁、喇叭磁,高性能小规格圆环,打孔磁瓦,打孔方块,异形磁钢,欢迎咨询。
'